機械加工・切削加工の製図に登場する記号

2022年3月17日
機械加工・切削加工の製図に登場する記号一覧

切削加工などの機械加工を行う際、まず製図をしますが、図面には技術者への指示を入れるためにさまざまな記号が出てきます。

今回の記事では、切削加工の図面に出てくる記号を解説したいと思います。
記号を覚えて記入するのは簡単ですが、適正な精度を指定したり、指示通りに加工を行ったりするのにも経験と技術が必要です。

寸法公差や幾何公差などのキーワードの意味や記号の使い方について、改めて理解を深めた上で図面に向き合ってみましょう。

機械加工の寸法公差と記号

機械加工の寸法公差と記号

機械加工をすると、図面と完成品に多少の誤差が生じることがあります。
このとき、図面の寸法に対して、許される寸法誤差の範囲のことを「寸法公差」といいます。

複数個全く同じ寸法を作ることは不可能であるため、製品の使用上問題ない寸法範囲を決めるのですが、その最大値と最小値の差が公差と呼ばれます。

主に図面上にて距離や位置、角度、大きさを表します。

寸法公差の図示記号

図面で寸法公差を記入する際、下の図のようなものが例となります。

【 図 】
寸法公差の図示記号
【 解説 】

30mm(日本の部品図面は指示がない限りミリ単位)に対して、公差レンジは0.12mm。

つまり、29.88mmから30.12mmの寸法内で加工を行うことを意味します。

機械加工の幾何公差と記号

機械加工の幾何公差と記号

寸法を指示するものが「寸法公差」であるのに対して、形状や位置、振れなどを指示するものは「幾何公差」で示します。

例えば円筒形状の加工品に円の寸法公差のみ規定した場合、公差の範囲であれば歪んでいたり外径や内径に対して中心がずれていたりしても寸法公差の基準は満たしますが、ほかの製品に対して組み込みを行ったり、ある箇所を基準で回転させる加工品は、円のまるさや基準になる箇所に対しての位置度などが必要となります。

これらを指示する記号が幾何公差です。

幾何公差の図示記号

幾何公差の代表的な種類と記号は下の図となります。
「形状公差」、「姿勢公差」のほかにも、「位置公差」や「振れ公差」があります。

形状公差
真直度交差
真直度交差
平面度交差
平面度交差
真円度交差
真円度交差
円筒度交差
円筒度交差
線の輪郭度交差
線の輪郭度交差
面の輪郭度交差
面の輪郭度交差
姿勢公差
平行度交差
平行度交差
直角度交差
直角度交差
傾斜度交差
傾斜度交差

機械加工の表面粗さと記号

切削や研削により加工された製品の表面には、微細な凹凸が必ずあります。機械加工では、その凹凸の大きさを「表面粗さ」と呼びます。

機械加工をする際、図面上では凹凸の大きさも数値で指示します。
例えばパッキンが当たる箇所は凹凸が大きいと気密性が悪くなるため、表面粗さを指示して気密性を保持するために用いられることも。

精度の高い製品を作るためにも、表面粗さの指示は欠かせません。

表面粗さの図示記号

図面で表面粗さを記入する際、下の図のようなものが例となります。

【 図 】
表面粗さの図示記号
【 解説 】

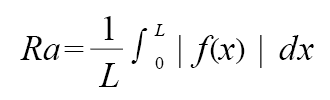
「Ra1.6以内で加工を行う」という意味を表します。

Raとは、算術平均粗さのこと。粗さ曲線からその平均線の方向に基準長さLだけを抜き取り、この抜き取り部分の平均線の方向にX軸を、縦倍率の方向にY軸を取り、粗さ曲線をy=f(x)で表したときに、 次の式によって求められる値をマイクロメートル(μm) で表したものをいいます。

※JIS B 0601(1994)・JIS B 0031(1994)参照

金属加工のさまざまな悩みや問題を解決

金属加工のさまざまな悩みや問題を解決

私達は愛と誠実のモノづくりサポーターです

阪井金属製作所ではご用途に応じてさまざまな金属加工提案を行い、経験豊富なスタッフがお客様に寄り添いながらモノづくりでのお悩みやお困り事を解決いたします。

金属加工から試作、デザイン、設計、製作(組み立て)まで幅広く対応。海外調達でのコストダウンや100社以上と連携する町工場ネットワークによる業務の効率化の提案など、金属加工でのお悩み事をご相談いただけます。

また、日本のモノづくりを守っていくためにも、モノづくり企業の業績回復や事業承継などのアドバイスも行っています。事業でお悩みがある方は、ぜひ一度ご相談ください。

お問い合わせ・見積依頼について

HP内にある問い合わせフォームもしくはお電話、FAX、メールにて承っています。

ご質問やご相談もお気軽にご連絡ください。
zoomなどによるオンラインミーティング対応可能です。

パソコン|モバイル
ページトップに戻る